Protein is an essential dietary supplement, and not just for athletes.
Its properties depend largely on the source from which it is derived.
Protein supplements can be consumed after training, as a snack during the day or even before bedtime. However, they should never replace a varied and balanced diet in the long term.
What is protein, and what is it for?
A protein supplement is a concentrated source of protein. It doesn't contain any anabolic substances or harmful additives — it's the same protein you'd find in everyday foods. The difference is that other nutrients have been removed to create a powder that consists mostly of pure protein.
In sports nutrition, protein is considered the most fundamental supplement if you're looking to gain or maintain muscle mass. However, it can also support weight loss goals and help prevent muscle breakdown (catabolism) during a calorie deficit. When you're not training, combining protein powder with fruit can make a convenient and nutritious snack.
What is the best source of protein?
You may already know that animal‑based proteins are generally superior to plant‑based ones because they contain all the essential amino acids required by the body to build new proteins.
When it comes to availability and effectiveness, cow’s milk proteins lead the way — particularly whey protein, which is widely regarded as the gold standard. Whey is digested quickly and easily, making it especially effective after a workout, when your muscles are primed for a fast supply of amino acids to support repair and growth.
Whey protein as a first choice - but which type should you choose?
If you've decided to go with whey protein, the next step is choosing between concentrate, isolate or hydrolysate. But what do these terms actually mean?
- Concentrate - Whey concentrate typically contains between 65–80% protein. The higher the percentage, the better, as you’ll need a smaller serving to reach your desired protein intake. It also contains small amounts of lactose and milk fat, which contribute to a pleasant taste. Of the three options, concentrate is the most affordable.
- Isolate - Whey isolate boasts a higher protein content — usually upwards of 80%, and often around 90–95%. Unlike concentrate, it contains minimal to no milk fat or lactose. This makes it a great option for those who are lactose intolerant. It’s a bit pricier, but if you're concerned about even trace amounts of lactose, you can also choose Lactose‑Free Whey Protein Powder.
- Hydrolysate - Whey hydrolysate features partially broken‑down protein chains, which allows for even faster digestion and quicker availability of amino acids for your muscles. It can be made from either concentrate, isolate or a combination of both — which affects the final protein content. This is the most expensive form of whey, and due to the hydrolysis process, it may have a slightly bitter taste.
- Learn more: How is Whey Protein Powder Made?
So, what is the final verdict?
Whey concentrate offers the best value for most people. If you're not lactose intolerant and you're not training for an elite‑level competition, this option is likely more than sufficient.
Whey isolate is ideal for those with lactose intolerance or anyone preparing for a physique or bodybuilding competition, where every gram of nutrient counts.
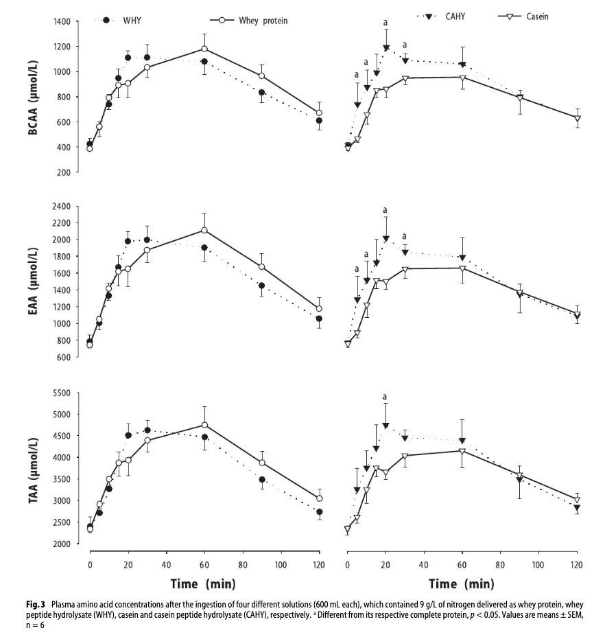
Whey hydrolysate is often seen as the most effective post‑workout option due to its rapid absorption. Peak amino acid levels occur around 20 minutes, compared to 60 minutes for non‑hydrolysed protein. However, this quick spike is followed by a steeper drop, and after 120 minutes, the blood levels of amino acids are nearly the same in both hydrolysed and non‑hydrolysed forms (as shown in the graph below).
What are other sources of protein?
If, for any reason, you’ve decided not to use whey protein, there are several alternative sources worth considering:
Casein protein - Casein is another protein found in cow’s milk, but it digests much more slowly than whey. It takes longer for the amino acids to reach the muscles, but this also means the release is sustained over a longer period. This makes casein especially suitable before bedtime, helping to reduce muscle protein breakdown during the overnight fast. It's also a good option for a filling snack, thanks to its slower digestion. However, post‑workout, whey remains the better choice due to its faster absorption.
Egg protein - Egg whites are an excellent source of high‑quality protein, although egg protein powders are less commonly used than milk‑based ones. This is largely due to their bland taste and limited flavour options — most egg protein powders are sold unflavoured, ideal for adding to porridge or other foods. For those with a cow’s milk protein allergy (CMPA), egg protein is a great alternative.
Beef protein - Protein derived from beef muscle is of high quality, but many beef protein supplements on the market primarily contain collagen, a protein sourced from connective tissue. While collagen is cheaper and can support joint health, it's not particularly effective for muscle building, as the body doesn’t use it efficiently for synthesising new muscle fibres.
Plant protein - Plant proteins are a suitable option for vegans or those with CMPA or egg allergies. As mentioned earlier, plant proteins are generally lower in quality than animal proteins, because they often lack one or more essential amino acids. To overcome this, it’s best to choose blends that combine different plant sources — legumes with grains, for example. A common and effective pairing is rice protein with pea, bean or soy protein. These complementary sources help cover each other's amino acid gaps, making the final blend more complete for supporting muscle protein synthesis.
Protein blend - Many supplements combine whey and casein to offer a mix of fast and slow‑digesting proteins. These blends are especially useful if you’ll be without food for an extended period or after a late‑night workout, when you may not be eating again before bed. This combination ensures your muscles receive both immediate and prolonged support.
Sweeteners, colourings and flavourings in protein supplements
If you plan to add protein powder only to your meals and opt for the unflavoured version, you’re in the clear. But if you intend to use it in drinks or shakes, manufacturers aim to create the best possible taste, texture and overall experience — which often involves the use of food additives. But should you be concerned? Not at all. All sweeteners, flavourings, colourings, emulsifiers and other additives used in protein powders are tested and approved under European legislation. What’s more, the quantities used in these supplements are very small.
That said, in some cases, you may prefer to choose products with natural additives — especially if the supplement is for children, pregnant or breastfeeding women, or if you simply prefer a more natural ingredient list. As for natural sweeteners, steviol glycosides from stevia are currently among the most popular and widely used.
What else should you consider when choosing?
Other factors that may alert you to a high‑quality product are, for example, raw materials that meet the organic certification or the declaration of grass‑fed origin of the milk, whichguarantees more dignified animal husbandry conditions. Free range also has a positive impact on the quality and nutritional profile of the milk.
Some products may also undergo various laboratory tests to verify the actual content of the required substances, or be certified by standards to ensure the safety of the supply chain.
How to dose protein properly
Protein is a dietary supplement, meaning it’s intended to supplement your diet, not replace regular meals. How much protein you need will depend on your individual daily requirement, which for physically active people is typically around 1.4 to 2 grams of protein per kilogram of body weight per day.
Normally, you will usually get by with one serving of protein per day (30–35g scoop), but exceptions can be made for situations such as a sports tournament with matches in quick succession, preparation for a competition, hiking in the countryside, travelling, illness, etc.
Quick summary: which protein to choose, and when?
After training - The best choice is whey protein, thanks to its rapid absorption. If you’re not a professional athlete or don’t require minimal lactose content, whey concentrate will more than suffice. For those with intolerances or allergies, plant‑based protein or egg white protein are suitable alternatives, though their absorption rates may be slightly slower.
Snack - When snacking, fast absorption isn’t essential — slower‑digesting proteins can help you feel full for longer. Good options include whey, casein, blended (multi‑ingredient) proteins, egg white or plant‑based blends. For an ideal snack, pair protein with fruit, which adds fibre and carbohydrates.
Before bed - To help reduce muscle protein breakdown overnight, casein protein is the top choice. If you’ve just finished a late workout, a multi‑ingredient protein blend makes an excellent final meal of the day. If you're dealing with allergies or intolerances, plant‑based protein or egg white protein are also viable options.
Can protein be added to meals?
Absolutely! Protein powders can be stirred into porridge, yoghurt or desserts without being damaged by heat or preparation. However, when baking, protein can dry out the mixture. In these cases, opt for a specialised product like Baking Protein, which is designed to retain the dough's moisture and elasticity.
Not all protein powders behave the same in the kitchen — some are better suited to cooking than others.
Protein in therapeutic nutrition
Protein supplements aren’t just for gym‑goers — they also play a vital role in clinical nutrition. If you’re temporarily unable to eat solid food or need extra support during recovery, protein shakes offer an easy and effective solution. In hospitals, products like Protifar — a concentrated cow’s milk protein — are often prescribed. Nutritional therapists frequently recommend such supplements for individuals who aren’t meeting their protein needs, especially when supporting wound healing, muscle preservation or rehabilitation. In short: protein supplements aren’t just for bodybuilders — they’re for anyone who needs support maintaining or restoring their strength and health.
Bottom line
Protein is an essential dietary supplement in sports nutrition, but you can benefit from it in other situations as well. In terms of protein quality and speed of absorption, whey protein is the ideal choice post‑workout, with the concentrate version being sufficiently ample for most users. Before bedtime, on the other hand, it will be preferable to use casein protein, which takes longer to digest and provides a longer supply of amino acids into the bloodstream.
For people with lactose intolerance, it's best to choose whey isolate or proteins with declared lactose‑free properties. With ABKM, any products made from cow's milk should be avoided and egg whites or vegetable proteins may be suitable alternatives.
FAQs
1. Which protein is best for weight loss?
Getting enough protein is essential for weight loss, as it helps keep you fuller for longer and supports muscle preservation. Most protein powders will support your goals, but if you're counting every calorie, try a product like Diet Whey Protein, which blends whey, milk and casein proteins. It also includes added green tea extract and Garcinia cambogia.
2. What protein should I choose for muscle growth?
Any high‑quality protein source will help support muscle protein synthesis — but don’t forget, resistance training is essential for building muscle. If you're struggling to gain weight or muscle, consider using a gainer, which combines protein with carbohydrates to help increase your total energy intake.
3. What protein is best for baking?
Most protein powders can be used in baking, but some may dry out your mixture. For best results, try our Baking Protein Powder which is formulated to keep baked goods soft and moist.
4. Which protein is best for women?
There’s no need to choose a specific protein based on gender. Simply select a product that suits your nutritional needs and flavour preferences. If you’re not a fan of milky textures, try a clear protein isolate like our Clear Whey Isolate, which has a light, refreshing taste — more like lemonade than a shake.



